
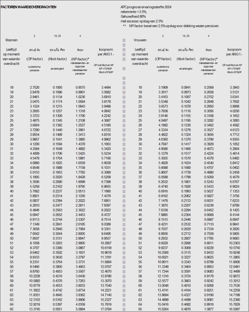
BEKENDMAKING VAN APC
Ingevolge het bepaalde in het derde lid van artikel 3 van het Landsbesluit houdende algemene maatregelen van de 19de mei 2003, ter uitvoering van artikel 78, vijfde lid en artikel 80, vijfde lid, van de Pensioenlandsverordening overheidsdienaren (Landsbesluit overdracht en overname voorziening pensioenverlichtingen overheidsdienaren, P.B. 2003 no 71), maakt het bestuur van Algemeen Pensioenfonds van Curaçao middels deze publicatie de contante waardefactoren van:
Het bestuur van het
Algemeen Pensioenfonds van Curaçao

Bij respectievelijke exploten van 25 september 2024, waarvan afschriften zijn gelaten aan de Edelachtbare Officier van Justitie bij Het Gerecht in Eerste Aanleg van Curaçao, die de oorspronkelijken voor “Gezien” heeft getekend, heb ik, MARLON ISIDRO BAZUR, deurwaarder voor burgerlijke zaken bij Het Gemeenschappelijk Hof van Justitie van Curaçao, Aruba en Sint Maarten en van Bonaire, Sint Eustatius en Saba en bij Het Gerecht in Eerste Aanleg van Curaçao, wonende op Curaçao en kantoorhoudende aan de Grebbelinieweg # 84-A, gevolggevend aan de beschikking van 19 september 2024 van de E.A. Rechter in het voormeld Gerecht, OPGEROEPEN: 1. GUSTAVO LEAL, 2. RAIGINO LEAL en 3. JOSHUA LEAL, allen zonder bekende woon of verblijfplaats op Curaçao of elders, om op maandag 13 januari 2025 des voormiddag om 09:30 uur ter terechtzitting te verschijnen ten Raadhuis “Kas di Korte” aan het adres Emancipatie Boulevard Dominico “Don” Martina # 18 op Curaçao voor de E.A. Rechter, teneinde op de door:. 1. XIAGHAIRA MONIQUE LEAL, 2. NATASHA MARCIA LEAL en 3. DIUZDELY JOSESITA LEAL tegen hen ingestelde vordering te antwoorden.
De Gerechtsdeurwaarder,
M.I. Bazur.

A A N K O N D I G I N G
Bij exploit van de 1ste oktober 2024 waarvan afschrift is gelaten aan de Heer Officier van Justitie bij het Gerecht in Eerste Aanleg van Curaçao, die het oorspronkelijk voor “Gezien” heeft getekend, heb ik, PATRICK ELOGIO KIRINDONGO, deurwaarder voor burgerlijke zaken bij het Gemeenschappelijk Hof van Justitie van Aruba, Curaçao en Sint Maarten en van Bonaire, Sint Eustatius en Saba en bij het Gerecht in Eerste Aanleg Curaçao, wonende te Curaçao en kantoorhoudende aan de Jan Noorduynweg No. 58-3, gevolg gevend aan de beschikking van de 16de september 2024 van de E.A. Rechter in het Gerecht voormeld, Oriana Daneisy VIELMA RIERA, gerequireerde, wonende te San Andres Nariño, Colombia, thans zonder verder bekende woon- of verblijfplaats in Curaçao of daarbuiten OPGEROEPEN om op dinsdag, 14 januari 2025 des voormiddag om 09.00 uur ter terechtzitting te verschijnen ten Raadhuize in het “Kas di Korte”, vroeger KPMG gebouw te Emancipatie Blvd Dominico “Don” Martina No. 18, voor de E.A. Heer Rechter, teneinde op de door David Leroy CURIEL, wonende te Curaçao, te dezer zake domicilie kiezende aan de Perseusweg No. 2, ten kantore de advocaat mr. J.H. Schmitz, tegen hem/haar ingestelde vordering te antwoorden.
De deurwaarder voornoemd,
P.E. Kirindongo.

FAILLISSEMENT
Bij vonnis d.d. 27 september 2024 van het Gerecht in eerste aanleg van Curaçao is in staat van faillissement verklaard de besloten vennootschap NON VIDERI B.V., gevestigd in Curaçao en kantoor houdende aan Abraham de Veerstraat 9 met KvK-nummer 165762, met aanstelling van mr. B.M. Nagelmakers tot curator en benoeming van mr. D.W.J. Vinkes tot rechter-commissaris.
Schuldeisers kunnen hun vorderingen, onderbouwd met bewijsstukken en onder vermelding van eventuele voorrechten, bij de curator ter verificatie indienen.
De curator,
Nagelmakers Advocaten
mr. B.M. Nagelmakers
Perseusweg 12, Curaçao
barbara@nagelmakers.com
Tel: 846-5000
FARMAPLUS N.V., in liquidatie
IN DE OP 19 SEPTEMBER 2024 GEHOUDEN BUITENGEWONE VERGADERING VAN AANDEELHOUDERS IS BESLOTEN OM MET INGANG VAN 19 SEPTEMBER 2024 TOT ONTBINDING EN ALGEHELE LIQUIDATIE VAN DE VENNOOTSCHAP OVER TE GAAN.
DE VEREFFENAAR
Eslocur N.V.
In Liquidatie
Gevestigd te Curaçao
te S.b.N. Doormanweg 40, unit 5
Slotverantwoording:
De Vereffenaar heeft overeenkomstig het bepaalde in artikel 2:31, eerste lid BW vastgesteld wat de omvang van de rechten en verplichtingen van de vennootschap zijn. Alle schuldeisers zijn voldaan en er zijn geen aan de Vereffenaar bekende baten meer aanwezig.
Overeenkomstig artikel 2:31, zevende lid BW is door de onderhavige publicatie van dat feit de vereffening geëindigd en is de entiteit opgehouden te bestaan. De slotverantwoording wordt ter inzage gelegd ten kantore van het handelsregister.
De Vereffenaar
Liquidatie
I.K. International N.V.
(in liquidatie)
Besluit tot ontbinding:
Bij besluit van de Aandeelhouders van de vennootschap is besloten de vennootschap per 1 oktober 2024 te ontbinden.
Rekening en verantwoording:
De vereffenaar heeft vastgesteld wat de omvang van de rechten en verplichtingen van de vennootschap zijn en heeft daarvan een balans opgemaakt die voor alle belanghebbenden ten kantore van de vennootschap ter inzage ligt.
Plan van Uitkering:
De vennootschap zal op korte termijn al haar schulden voldoen, waarna het resterend liquidatiesaldo aan de aandeelhouder zal worden voldaan overeenkomstig de bepalingen van de statuten van de vennootschap.
De Vereffenaar
Liquidatie
Norma Investments N.V. in liquidatie
In de op 28 september 2024 gehouden algemene vergadering van aandeelhouders is besloten om tot ontbinding van de vennootschap over te gaan.
De rekening en verantwoording en het plan van uitkering van de vennootschap in liquidatie zijn neergelegd ten kantore van het Handelsregister en liggen ter inzage gedurende een termijn van 30 dagen vanaf heden.
De vereffenaar
De beslissing
Het gerecht:
Stelt Ruby Elizabeth Richardson, geboren op 4 januari 1955 op Curaçao, onder curatele;
Benoemt tot curator Germain Alexander Gregory Richardson, geboren 1 maart 1975 op Curaçao;
draagt de griffier op om aantekening van deze beschikking in het curateleregister te doen;